我们平时在工作、学习中会大量使用图结构,不过呢在使用代码进行具体实现的时候极少使用图,主要是图里容易产生环,难以处理。
在算法里,考察图也不是很多,主要是图的表示非常复杂,初始化一个图就需要几十行代码,非常不利用面试。
不过呢,在笔试、校招等场景还是可能考察图,所以为了提高自己的胜算,我们有必要掌握必要的图问题。
| 关卡名 | 常见图算法 | 我会了✔️ |
|---|---|---|
| 内容 | 1.理解图的基本特征和常见概念 | ✔️ |
前面我们学了线性表和树,线性表局限于一个直接前驱和一个直接后继的关系,树也只能有一个直接前驱也就是父节点,当我们需要表示多对多的关系时,就用到了图。
图是一种数据结构,其中结点可以具有零个或多个相邻元素,两个结点之间的连接称为边, 结点也可以称为顶点。最典型的就是地铁线路图:

为了方便处理 ,我们会将图抽象为只有顶点(vertex)和边的结构(edge),如下图所示:

根据边是否有向,可以将图分为有向图和无向图。而根据顶点之间的边是否有权重,又分为带权图和不带权的图。
而不同顶点之间能够连通的线路就称为路径(Path),例如在上述中间有向图中C到D的路径为”C->B->D“,但是从D到C则没有路径,这称为两个结点不可达。
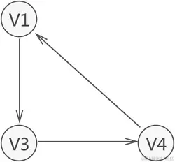
图结构常用来存储逻辑关系为“多对多”的数据。比如说,一个学生可以同时选择多门课程,而一门课程可以同时被多名学生选择,学生和课程之间的逻辑关系就是“多对多”。再举个例子,{V1, V2, V3, V4} 中各个元素之间具有的逻辑关系如下图所示:

A->B 表示 A 和 B 之间存在单向的联系,由 A 可以找到 B,但由 B 找不到 A。
上图中,从V1可以找到V3、V4、V2,从 V3、V4、V2也可以找到 V1,因此元素之间具有“多对多”的逻辑关系,存储它们就需要用到图结构。
和链表不同,图中存储的各个元素被称为顶点(而不是节点)。拿上图来说,图中含有4个顶点,分别为顶点 V1、V2、V3 和 V4。
通常情况下,我们习惯用 Vi 表示图中的顶点,且所有顶点构成的集合通常用 V 表示。比如说,图1中顶点的集合为 V={V1, V2, V3, V4}。
上图中各个顶点之间的关系都是双向的,这种情况下我们更习惯用下图来表示各个元素之间的关系:

A-B 表示 A 和 B 之间存在双向的联系,由 A 可以找到 B,同样由 B 也可以找到 A。类似图2这样,各个元素之间的联系都是双向的,这样的图结构称为无向图。如果元素之间存在单向的联系,那么这样的图结构称为有向图,例如:

从上面几个图,我们可以得到两个重要的结论:

在系统地学习图存储结构之前,需要了解掌握术语以及它们各自代表的含义。
有向图中,无箭头一端的顶点通常被称为"初始点"或"弧尾",箭头一端的顶点被称为"终端点"或"弧头"。
对于有向图中的一个顶点 V 来说,箭头指向 V 的弧的数量为 V 的入度(InDegree,记为 ID(V));箭头远离 V 的弧的数量为 V 的出度(OutDegree,记为OD(V))。拿图 2 中的顶点 V1来说,该顶点的入度为 1,出度为 2,该顶点的度为 3。
无向图中描述两顶点 V1 和 V2 之间的关系可以用 (V1, V2) 来表示;有向图中描述从 V1 到 V2 的"单向"关系可以用 <V1,V2> 来表示。
由于图存储结构中顶点之间的关系是用线来表示的,因此 (V1,V2) 还可以用来表示无向图中连接 V1 和 V2 的线,又称为边;同样,<V1,V2> 也可用来表示有向图中从 V1 到 V2 带方向的线,又称为弧。
图中习惯用 VR 表示图中所有顶点之间关系的集合。例如,图1中无向图的集合 VR={(v1,v2),(v1,v4),(v1,v3),(v3,v4)},图 2 中有向图的集合 VR={<v1,v2>,<v1,v3>,<v3,v4>,<v4,v1>}。
无论是无向图还是有向图,从一个顶点到另一顶点途经的所有顶点组成的序列(包含这两个顶点),称为一条路径。如果路径中第一个顶点和最后一个顶点相同,则此路径称为"回路"(或"环")。
在此基础上,若路径中各顶点都不重复,此路径被称为"简单路径";若回路中的顶点互不重复,此回路被称为"简单回路"(或简单环)。
拿图 1 来说,从 V1 存在一条路径还可以回到 V1,此路径为 {V1,V3,V4,V1},这是一个回路(环),而且还是一个简单回路(简单环)。
在有向图中,每条路径或回路都是有方向的。
有些场景中,可能会为图中的每条边赋予一个实数表示一定的含义,这种与边(或弧)相匹配的实数被称为"权",而带权的图通常称为网。例如,图4就是一个网结构:

指的是由图中一部分顶点和边构成的图,称为原图的子图。
前面讲过,图中从一个顶点到达另一顶点,若存在至少一条路径,则称这两个顶点是连通着的。例如图 1 中,虽然 V1 和 V3 没有直接关联,但从 V1 到 V3 存在两条路径,分别是 V1-V2-V3 和 V1-V4-V3,因此称 V1 和 V3 之间是连通的。

顶点之间的连通状态示意图
无向图中,如果任意两个顶点之间都能够连通,则称此无向图为连通图。例如,图 2 中的无向图就是一个连通图,因为此图中任意两顶点之间都是连通的。
连通图示意图若无向图不是连通图,但图中存储某个子图符合连通图的性质,则称该子图为连通分量。
前面讲过,由图中部分顶点和边构成的图为该图的一个子图,但这里的子图指的是图中"最大"的连通子图(也称"极大连通子图")。
如图所示,虽然图 a) 中的无向图不是连通图,但可以将其分解为 3 个"最大子图"(图 b)),它们都满足连通图的性质,因此都是连通分量。

连通分量示意图
提示,图 3a) 中的无向图只能分解为 3 部分各自连通的"最大子图"。
需要注意的是,连通分量的提出是以"整个无向图不是连通图"为前提的,因为如果无向图是连通图,则其无法分解出多个最大连通子图,因为图中所有的顶点之间都是连通的。
强连通图
有向图中,若任意两个顶点 Vi 和 Vj,满足从 Vi 到 Vj 以及从 Vj 到 Vi 都连通,也就是都含有至少一条通路,则称此有向图为强连通图。如图 4 所示就是一个强连通图。

强连通图
与此同时,若有向图本身不是强连通图,但其包含的最大连通子图具有强连通图的性质,则称该子图为强连通分量。

强连通分量如上图所示,整个有向图虽不是强连通图,但其含有两个强连通分量。
对连通图进行遍历,过程中所经过的边和顶点的组合可看做是一棵普通树,通常称为生成树。

连通图及其对应的生成树如图所示,图 a) 是一张连通图,图 b) 是其对应的 2 种生成树。
连通图中,由于任意两顶点之间可能含有多条通路,遍历连通图的方式有多种,往往一张连通图可能有多种不同的生成树与之对应。
连通图中的生成树必须满足以下 2 个条件:
1包含连通图中所有的顶点;
2任意两顶点之间有且仅有一条通路;因此,连通图的生成树具有这样的特征,即生成树中边的数量 = 顶点数 - 1。
生成森林
生成树是对应连通图来说,而生成森林是对应非连通图来说的。
我们知道,非连通图可分解为多个连通分量,而每个连通分量又各自对应多个生成树(至少是1棵),因此与整个非连通图相对应的,是由多棵生成树组成的生成森林。

上图非连通图和连通分量如图所示,这是一张非连通图,可分解为 3 个连通分量,其中各个连通分量对应的生成树如图 所示:

注意,图中列出的仅是各个连通分量的其中一种生成树。
因此,多个连通分量对应的多棵生成树就构成了整个非连通图的生成森林。
阅读量:943
点赞量:0
收藏量:0