树是一个有n个有限节点组成的一个具有层次关系的集合,每个节点有0个或者多个子节点,没有父节点的节点称为根节点,也就是说除了根节点以外每个节点都有父节点,并且有且只有一个。树的种类有很多,我们最常见的就是二叉树,其基本结构如下:

参考以上结构,可以很方便地理解树的以下概念:

这课二叉树为满二叉树,也就是说深度为 k = 4,有 2 ^ k - 1 = 15 个节点的二叉树。
完全二叉树的定义如下:在完全二叉树中,除了最底层节点可能没有填满以外,其余每层的节点数都达到了最大值,并且最下面一层的节点都集中在该层最左边的若干位置。
这个定义最邪乎了,估计大部分看了之后还不懂什么事完全二叉树,看这个图就可以了:

前面两棵树的 n - 1 层都是满的,最后一层所有节点都集中在左侧区域,而且中间不能有空隙,最后一个为什么不是呢?因为有一节缺了一个左子节点。
注意
本关讲义我们主要看原理,不写可执行的代码,因此我们只用伪代码,不提供各种语言的定义
定于树的原理和我们前面讲的链表的本质是一样的,只不过多了一个指针,如果是二叉树,只要在链表的定义上增加一个指针就可以了:
public class TreeNode {
int val;
TreeNode left;
TreeNode right;
}
这里本质上就是有两个引用,分别指向两个位置,为了便于理解,我们分别命名为左 孩子和右孩子。如果是N叉树该如何定义呢?其实就是每个节点最多可以有N个指针 指向其他地方,这是不用left和right,使用一个List就可以了,也就是:
public class TreeNode {
int val;
List<TreeNode> nodes;
}
那能否用数组来存储二叉树呢?其实就是用数组来存储二叉树,顺序存储的方式如图:

用数组来存储二叉树如何遍历的呢?如果父节点的数组下表是i,那么它的左孩子就是i * 2 + 1,右孩子就是 i * 2 + 2。但是用链式表示的二叉树,更有利于我们理解,所以 一般我们都是用链式存储二叉树。所以大家要了解,用数组依然可以表示二叉树。 使用数组存储的最大不足是可能存在大量的空间浪费。例如上图中如果b分支没有, 那么数组种1 3 4 位置都要空着,但是整个数组的大小仍然是7,因此很少使用数组来存储树。
我们现在就来看一下树的常见遍历方法。二叉树的遍历方式有层次遍历和深度优先遍 历两种:
这两种遍历方式不仅仅是二叉树,N叉树也有这两种方式的,图结构也有,只不过我 们更习惯叫广度优先和深度优先,本质是一回事。深度优先又有前中后序三种, 有同 学总分不清这三个顺序,问题就在不清楚这里前中后是相对谁来说的。记住一点:前指的是中间的父节点在遍历中的顺序,只要大家记住 前中后序指的就是中间节点的位置就可以了。
看如下中间节点的顺序,就可以发现,访问中间节点的顺序就是所谓的遍历方式
前序遍历:中左右
中序遍历:左中右
后序遍历:左右中
大家可以对着如下图,看看自己理解的前后中序有没有问题 。

后面的大量算法都和这四种遍历方式有关,有的题目根据角度不同,可以用层次遍历,也可以用一种甚至两种深度优先的方式来实现。
前面我们已经介绍了前中后序遍历的基本过程,现在我们看一下如何通过给出的序列 来恢复原始二叉树,看三个序列:
(1) 前序:1 2 3 4 5 6 8 7 9 10 11 12 13 15 14
(2) 中序:3 4 8 6 7 5 2 1 10 9 11 15 13 14 12
(3) 后序:8 7 6 5 4 3 2 10 15 14 13 12 11 9 1
这里选择前序和中序,进行第一道题的讲解
(1) 前序:1 2 3 4 5 6 8 7 9 10 11 12 13 15 14
(2) 中序:3 4 8 6 7 5 2 1 10 9 11 15 13 14 12
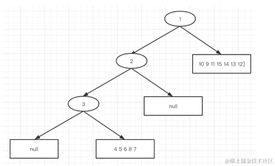
第一轮:根据前序和中序划分,可以得到根节点为 1 ,然后可以得到第一轮树的结构

第二轮:先看两个序列的第一个数组:
前序: 2 3 4 5 8 7 中序: 3 4 8 6 7 5 2
此时又可以利用上面的结论划分了:根节点是 2 ,根据 2 的在中序的位置,可以划分为
前序 : 2 【3 4 5 6 8 7】 中序:【3 4 8 6 7 5】 2
所以第二轮树的结构为:

第三轮 对 3 4 5 6 8 7 继续划分 前序:3 【4 5 6 8 7】 中序:3【4 8 6 7 5】,此时结构如下:

第四轮:对 4 5 8 7 继续划分: 前序 4 【 5 6 8 7】 中序:4 【8 6 7 5】

第五轮:对 5 6 8 7 继续划分:前序:5 【6 8 7】 中序:【8 6 7】5,最后得到的结果如下:
同理可得完整图如下:

然后中序和后序也是可以恢复原始序列的,唯一不同的是后序序列的最后一个是根节点,中序也是一样的过程,这里我们可以用以下例子来试一下:

为下为大致过程,第一轮 根节点为 5 ,所以,就可以得到左边为 【1 4 2】,右边为【7 6 8】,所以第一轮结构如下:

第二轮先对左边进行排序,【1 4 2】,可以得到根节点为 4 ,然后 1 在左边,2 在右边,树的结构如下:

然后另一边也是一样的,结果如下:

既然上面两种都行,那为什么前序和后序不行呢?我们看上面的例子:
(1) 前序:1 2 3 4 5 6 8 7 9 10 11 12 13 15 14
(2) 后序:8 7 6 5 4 3 2 10 15 14 13 12 11 9 1
根据上面的说明,我们通过前序可以知道根节点是1,通过后序也能知道根节点是1, 但是中间是怎么划分的呢?其他元素哪些属于左子树,哪些属于右子树呢?很明显通 过两个序列都不知道,所以前序和后序序列不能恢复二叉树。
如果将上述过程用代码实现该怎么做呢?通过前序和中序构造树就是LeetCode105 题,通过中序和后序构造树就是LeetCode106题,实现过程略微繁琐,感兴趣的同学可以研究一下。
阅读量:1728
点赞量:0
收藏量:0